Loewe Xelos A42 platinum — решение распространенных проблем с телевизионными системами [32/36]
Содержание
- Xelos a 42 p.1
- Plasma tv p.1
- Содержание p.3
- Igolbyi p.3
- Пульт дистанционного управления rc4 функции управления телевизором p.4
- Управление с панели телевизора p.5
- Snumnn ll p.6
- Разъемы на задней панели p.6
- Функциональное оснащение телевизора p.7
- Транспортировка p.7
- Пожалуйста обратите внимание p.7
- Комплект поставки p.7
- Введение p.7
- Варианты установки p.7
- Благодарим вас p.7
- Чистка p.8
- Утилизация p.8
- Правила безопасной эксплуатации p.8
- Введение p.8
- Введение p.9
- Пульт дистанционного управления подключение p.10
- Подготовка к работе p.10
- Включение p.10
- Часто используемые функции p.11
- Подготовка к работе p.11
- Включение выключение p.11
- Автоматическое программирование p.11
- Часто используемые функции p.12
- Выбор станций p.12
- Часто используемые функции p.13
- Сэ go p.13
- Общие принципы использования меню p.13
- Часто используемые функции p.14
- Управление с передней панели телевизора p.14
- Настройка звука настройка изображения p.14
- Режимы работы p.15
- Режим tv p.15
- Режимы работы p.16
- Выбор формата изображения p.16
- Режимы работы p.17
- Картинка в картинке pip p.17
- Режимы работы p.18
- Электронная программа передач ерэ p.19
- Режимы работы p.19
- Режимы работы p.20
- Режимы работы p.21
- Режим телетекста p.21
- Режимы работы p.22
- Режим радиоприемника p.22
- Управление дополнительной аппаратурой p.23
- Регистрация и подключение аппаратуры p.23
- Управление дополнительной аппаратурой p.24
- Запись на видеокассету или dvd по сигналу таймера p.24
- Воспроизведение видеозаписей p.24
- Назначение функций цифровым аудиовходу и аудиовыходу p.25
- Управление дополнительной аппаратурой p.25
- Управление дополнительной аппаратурой p.26
- Подключение dvd пресивера auro 8116dt и аудиосистемы tremo p.26
- Управление дополнительной аппаратурой p.27
- Подключение других звуковых усилителей или активных громкоговорителей p.27
- Управление дополнительной аппаратурой p.28
- Соединение hdmi dvi вход vga xga p.28
- Управление дополнительной аппаратурой p.29
- Подключение к компонентному видеовходу p.29
- Пульт дистанционного управления телевизора можно переключать в режимы непосредственного управления видеомагнитофонами или dvd проигрывателями loewe p.30
- При работе пульта в режиме управления dvd проигрыва телем или видеомагнитофоном светится индикатор над кнопкой dvd или vcr соответственно в режиме dvd пульт позволяет управлять следующими dvd проигрывателями xemix6122do 8122da и 6222 ps в режиме vcr пульт позволяет управлять следующими видеомагнитофонами viewvision 8106н 8136н 8176н 6306н 6336н 6376н 6396н 4306н 4376н 2102м 2302м 206 4236 4276 для остальных аппаратов loewe потребуется собственный пульт дистанционного управления p.30
- Непосредственное управление видеомагни тофоном или dvd проигрывателем loewe p.30
- Нажмите кнопку vcr индикатор над кнопкой светится приблизительно 5 секунд p.30
- Нажмите кнопку dvd индикатор над кнопкой светится приблизительно 5 секунд p.30
- Для возврата в режим управления телевизором нажмите кнопку tv p.30
- Выбор режима управления p.30
- Функции управления видеомагнитофоном loewe w 8106 8136 8176 p.30
- Функции управления dvd проигрывателем loewe xemix 6122do 8122da 6222ps p.30
- Управление дополнительной аппаратурой p.30
- Что делать если p.31
- Что делать если p.32
- Технические характеристики p.33
- Принадлежности p.34
- Адреса сервисных центров p.35
- Loewe сервис центр p.36
- Loewe москва p.36
Похожие устройства
-
Loewe Xelos 32 50422T80 SilverИнструкция по эксплуатации -
Loewe Xelos 32 50422W80 SilverИнструкция по эксплуатации -
Loewe Connect 32 51408U82 WhiteИнструкция по эксплуатации -
Loewe Xelos A32 DVB-T/CИнструкция по эксплуатации -
Loewe Individual 32 DVB-T/CИнструкция по эксплуатации -
Loewe Xelos A20 platinumИнструкция по эксплуатации -
Loewe Xelos A37 platinumИнструкция по эксплуатации -
Loewe Xelos A32 anthraciteИнструкция по эксплуатации -
Loewe Xelos A32 platinumИнструкция по эксплуатации -
Loewe Bild 3.40 Light Grey (56458S80)Инструкция по эксплуатации -
Loewe Bild 3.48 Light Grey (56459S80)Инструкция по эксплуатации -
Loewe Стойка FS Plate 55-65 Light Grey (72670S00)Инструкция по эксплуатации
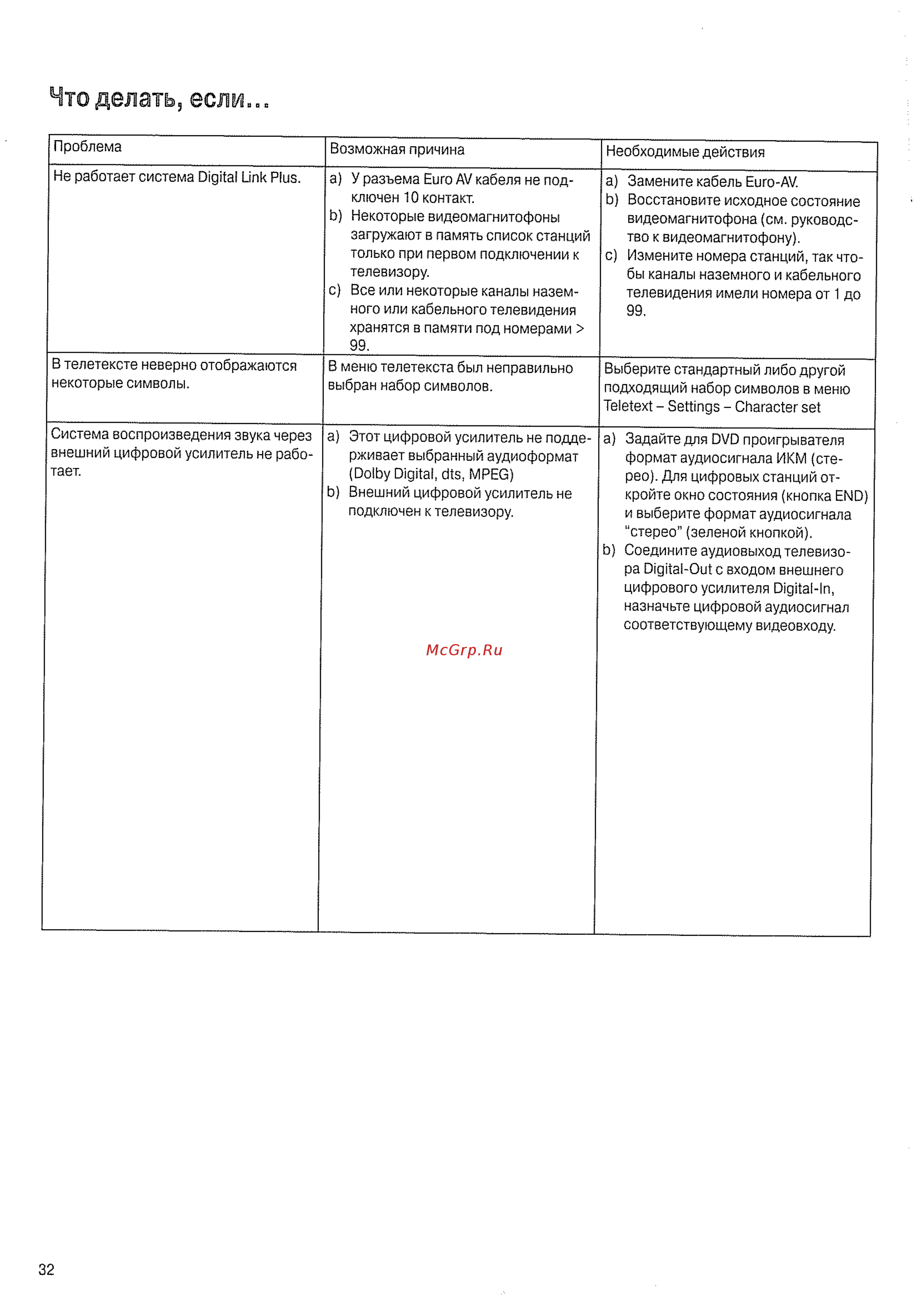
Что делать если Проблема Возможная причина Необходимые действия Не работает система Digital Link Plus а У разъема Euro AV кабеля не под ключен 10 контакт Ь Некоторые видеомагнитофоны загружают в память список станций только при первом подключении к телевизору с Все или некоторые каналы назем ного или кабельного телевидения хранятся в памяти под номерами 99 а Замените кабель Euro AV b Восстановите исходное состояние видеомагнитофона см руководс тво к видеомагнитофону с Измените номера станций так что бы каналы наземного и кабельного телевидения имели номера от 1 до 99 В телетексте неверно отображаются некоторые символы В меню телетекста был неправильно выбран набор символов Выберите стандартный либо другой подходящий набор символов в меню Teletext Settings Character set Система воспроизведения звука через внешний цифровой усилитель не рабо тает а Этот цифровой усилитель не подде рживает выбранный аудиоформат Dolby Digital dts MPEG b Внешний цифровой усилитель не подключен к телевизору а Задайте для DVD проигрывателя формат аудиосигнала ИКМ сте рео Для цифровых станций от кройте окно состояния кнопка END и выберите формат аудиосигнала стерео зеленой кнопкой Ь Соедините аудиовыход телевизо ра Digital Out с входом внешнего цифрового усилителя Digital In назначьте цифровой аудиосигнал соответствующему видеовходу 32
Узнайте, как устранить проблемы с подключением, настройкой и воспроизведением звука на телевизорах и видеомагнитофонах. Полезные советы и рекомендации.
![Loewe Xelos A42 platinum [32/36] Что делать если](/views2/1275623/page32/bg20.png)