Loewe Auro 8116 DT A00 — устранение неисправностей: советы и решения для техники [52/56]
Содержание
- Принципы управления 14 p.2
- Подготовка к включению 7 p.2
- Передняя панель auro 4 p.2
- Настройки звука 40 p.2
- Введение 5 p.2
- Аудио cd 29 p.2
- Адреса сервисных центров 53 p.2
- Vcd svcd 27 p.2
- Функция замок от детей 35 p.2
- Mp3 и jpeg зз p.2
- Функции пульта дистанционного управления в режиме tv dvd a 50 p.2
- Устранение неисправностей 52 p.2
- Тюнер 37 p.2
- Технические характеристики 51 p.2
- Содержание p.2
- Пульт дистанционного управления rc2 3 p.2
- Пульт дистанционного управления 42 p.2
- Ц sound m p.3
- Пульт дистанционного управления rc2 p.3
- Примечание для управления auro переключите пульт дистанционного управления в режим dvd audio см стр 14 функции кнопок для обоих этих подрежимов disc и radio показаны на данной иллюстрации p.3
- Ияв p.3
- Ду title cha p.3
- Ter n y ra p.3
- Ode д p.3
- Reheatsq p.4
- Передняя панель aura p.4
- Дисплей auro p.4
- Утилизация использованных батареек p.5
- Правила безопасной эксплу атации p.5
- Комплект поставки p.5
- Введение p.5
- Благодарим вас p.5
- Чистка дисков p.6
- Чистка p.6
- Установка auro на закрытой полке digital link p.6
- Установка p.6
- Технические условия работы l link p.6
- Система передачи инфор мации l link p.6
- Введение p.6
- Подготовка к включению p.7
- Внимание p.7
- Подключение антенны p.7
- Подключение p.7
- Подготовка к включению p.8
- К аналоговому входу aux 1 in p.8
- Установка батареек p.9
- Подключение к цифровому аудио источнику p.9
- Подготовка пульта дистан ционного управления p.9
- Подготовка к включению p.9
- Ооо осо p.9
- Ооо о о р ó ó ó ó ó ó p.9
- Ооо 000 p.9
- Примечание p.10
- Подготовка к включению p.10
- Первое включение p.10
- Выбор языка меню пульта дистан ционного управления p.10
- Выбор языка меню p.10
- Подготовка к включению p.11
- Выбор системы цветности pal ntsc p.11
- Возврат к настройкам по умолчанию p.11
- Включение функции digital link p.11
- Регистрация подключенных гром коговорителей p.12
- Регистрация аудиосистемы p.12
- Примечание p.12
- Подготовка к включению p.12
- Настройка параметров ау диосистемы p.12
- Регулирование уровня громкости p.13
- Подготовка к включению p.13
- Ввод расстояния между громкого ворителями p.13
- Принципы управления p.14
- Примечание p.14
- Основные функции p.14
- Выбор режима работы пуль та дистанционного управле ния p.14
- Строка меню p.15
- Принципы управления p.15
- Пользовательский интерфейс p.15
- Меню dvd p.15
- Жмите кнопку p.15
- Для выполнения функции на p.15
- Таблица произведение глава p.16
- Принципы управления p.16
- Окно состояния p.16
- Контекстная справка p.16
- Таймер отключения p.17
- Принципы управления p.17
- Пользовательский интер фейс загруженного dvd диска p.17
- Переключение в режим ожидания p.18
- Ввод цифр p.18
- Автоматические функции p.18
- Режим сохранения экрана p.18
- Пять секунд для сохранения p.18
- Продолжение воспроизведения p.18
- Принципы управления p.18
- Следующая или предыдущая глава p.19
- Основные функции p.19
- Или p.19
- Загрузка диска p.19
- Выбор главы p.19
- Воспроизведение p.19
- Примечание p.20
- Любая глава выбор произведения поиск p.20
- Или p.20
- Или p.21
- Дополнительные функции p.21
- Выбор звукового формата p.21
- Что такое звуковой формат p.21
- Примечание p.21
- Пауза стоп кадр p.21
- Остановка воспроизведения p.21
- Окончание воспроизведения p.21
- Повторное воспроизведение p.23
- Повтор фрагмента а в p.23
- Повтор произведения или главы p.23
- Масштаб увеличение изображения p.23
- Использование меток p.24
- Звуковой режим p.24
- Воспроизведение с заданной позиции p.24
- Базовые настройки p.25
- Picture format формат изображения p.25
- Digital sound output настройка цифрового аудиовыхода p.25
- Child lock замок от детей p.25
- Примечание p.25
- Настройки p.25
- Замедленное воспроизведение p.25
- Примечание p.26
- Предварительные настройки языка p.26
- Особенности дисков dvd audio p.26
- Subtitles active включение субтитров p.26
- Subtitle язык субтитров p.26
- Menu on dvd язык меню dvd диска p.26
- Film язык звукового сопровождения p.26
- Dvd preceiver menu язык меню dvd лресивера p.26
- Sound настройки звука p.27
- Playback control управление воспроизведением p.27
- Play from воспроизведение с заданной позиции p.27
- Markers метки p.27
- Child lock замок от детей p.27
- Строка меню vcd svcd p.27
- Собственное меню vcd диска p.27
- Примечание p.27
- Меню p.27
- Выбор произведения p.27
- Vcd svcd p.27
- Title programming программиро вание воспроизведения p.27
- Случайный порядок воспроизве дения p.28
- Примечание p.28
- Поиск p.28
- Повторное воспроизведение p.28
- Замедленное воспроизведение p.28
- Другие функции p.28
- Выбор масштаба p.28
- Vcd svcd p.28
- Аудио cd p.29
- Случайный порядок воспроизве дения p.29
- Примечание p.29
- Повторное воспроизведение p.29
- Окно состояния строка меню p.29
- Выбор произведения p.29
- Воспроизведение с заданной позиции p.29
- Программирование воспроизве дения p.30
- Аудио cd p.30
- Сохранение программы воспроиз ведения custom file p.31
- Аудио cd p.31
- Примечание p.32
- Аудио cd с текстом p.32
- Аудио cd p.32
- Cd time индикация времени p.32
- Cd text индикация текста p.32
- Cd scroll прокрутка текста p.32
- Функции cd time cd text cd scroll p.33
- Строка меню для формата мрз p.33
- Строка меню для формата jpeg p.33
- Повторное воспроизведение p.33
- Особенности управления для фор мата мрз p.33
- Окно состояния p.33
- Данные форматов мрз и jpeg на одном диске p.33
- Выбор произведения p.33
- Выбор масштаба p.33
- Mp3 и jpeg p.33
- Таблица папки файлы p.34
- Окно title programming custom file только для мрз p.34
- Вращение изображений формата jpeg p.34
- Mp3 и jpeg p.34
- Kodak picture cd p.34
- Задание pin кода p.35
- Функция замок от детей p.35
- Примечание p.35
- Первичная настройка замка от детей p.35
- Отличия между dvd и vcd svcd p.35
- Окно выбора страны p.35
- Функция замок от детей p.36
- У 1 4 p.36
- Примечание p.36
- Использование замка от детей p.36
- Значения уровня блокировки p.36
- Lock level уровень блокировки p.36
- Lock disc unlock disc блокировка разблокировка диска p.36
- Location of set страна пребыва ния p.36
- Deleting the pin удаление pin кода p.36
- Changing the pin смена pin кода p.36
- Выбор станций p.37
- Тюнер p.37
- Список станций p.37
- Примечание p.37
- Подготовка к приему станций ам диапазона p.37
- Первое включение p.37
- Или p.37
- Тюнер p.38
- Тюнер p.39
- Точная настройка p.39
- Ручное сохранение настройки на станцию p.39
- Ручная настройка на станции p.39
- Примечание p.39
- Переключение моно стерео p.39
- Ночной режим p.40
- Настройки звука p.40
- Громкость p.40
- Через меню sound на дисплее аппарата p.40
- Через меню dvd либо vcd p.40
- Уровень верхних и нижних частот p.40
- Через строку меню для тюнера не применимо p.41
- Через меню sound на дисплее аппарата p.41
- Через меню dvd либо vcd p.41
- Символы на дисплее auro p.41
- Настройки звука p.41
- Звуковой режим p.41
- Пульт дистанционного управления p.42
- Настройка пульта для управления аппаратурой других изготовителей p.42
- Настройка контраста дисплея p.42
- Выбор языка меню пульта дистан ционного управления p.42
- Выбор режима работы пульта p.42
- Переключение пульта с помощью кода из библиотеки p.43
- Переключение пульта непосредс твенным вводом кода p.43
- Пульт дистанционного управления p.43
- Тем самым вы подтвержда ете принятие нового кода на дисплее открывается меню setup p.44
- Список кодов p.44
- Пульт дистанционного управления p.44
- Пульт дистанционного уп равления передает новый код p.44
- Подождите некоторое время чтобы аппарат успел отреагировать на команду p.44
- Открывается меню mode p.44
- Нажмите данную кнопку p.44
- Когда это произойдет p.44
- Если при нажатии кнопки set он выключается пере ключается в режим ожи дания значит вы нашли нужный код p.44
- Если он не выключился вновь нажмите эту кноп ку при каждом нажатии передается новый код продолжайте пока аппарат не переключится в режим ожидания p.44
- Если аппарат не выключил ся p.44
- Выберите строку accept p.44
- Пульт дистанционного управления p.45
- Пульт дистанционного управления p.46
- Видеомагнитофон тип 2 p.46
- Пульт дистанционного управления p.47
- Пульт дистанционного управления p.48
- Sat stb тип 3 p.48
- Пульт дистанционного управления p.49
- Декодер кабельного tb stb тип 3 p.49
- Функции пульта дистанционного управления в режиме tv dvd a p.50
- 4 ghi 5 6 mno p.50
- Технические характеристики p.51
- Видео p.51
- Аудио p.51
- Auro 8116dt артикул 63230 p.51
- Устранение неисправностей p.52
- Проблема способы решения p.52
- Адреса сервисных центров p.53
- Для заметок p.54
- Loewe москва p.56
- Loewe сервис центр p.56
Похожие устройства
-
Loewe Xemix 6222 PS A20Инструкция по эксплуатации -
Loewe Xemix 6222 PS D20AИнструкция по эксплуатации -
Loewe Auro 8116 DT D00Инструкция по эксплуатации -
BBK DVP030S BlackРуководство по эксплуатации -
Fusion FD-U157XРуководство по эксплуатации -
Telefunken TF-DVD5103 BlackИнструкция по эксплуатации -
BBK DVP170SI BlackИнструкция по эксплуатации -
Toshiba SD-795KИнструкция по эксплуатации -
BBK DVP176SI Dark GreyИнструкция по эксплуатации -
Sony DVP-K68Инструкция по эксплуатации -
Pioneer DV-320-SИнструкция по эксплуатации -
Pioneer DV-420V-KИнструкция по эксплуатации
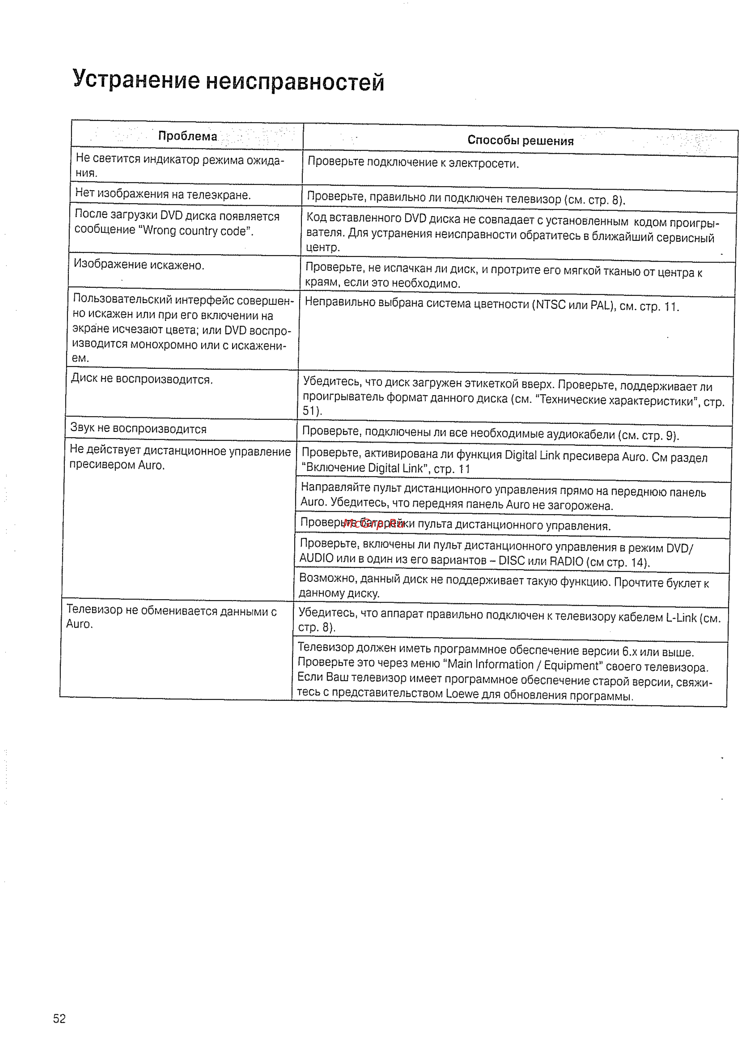
Устранение неисправностей Проблема Способы решения Не светится индикатор режима ожида ния Проверьте подключение к электросети Нет изображения на телеэкране Проверьте правильно ли подключен телевизор см стр 8 После загрузки DVD диска появляется сообщение Wrong country code Код вставленного DVD диска не совпадает с установленным кодом проигры вателя Для устранения неисправности обратитесь в ближайший сервисный центр Изображение искажено Проверьте не испачкан ли диск и протрите его мягкой тканью от центра к краям если это необходимо Пользовательский интерфейс совершен но искажен или при его включении на экране исчезают цвета или DVD воспро изводится монохромно или с искажени ем Неправильно выбрана система цветности NTSC или PAL см стр 11 Диск не воспроизводится Убедитесь что диск загружен этикеткой вверх Проверьте под держивает ли проигрыватель формат данного диска см Технические характеристики стр 51 Звук не воспроизводится Проверьте подключены ли все необходимые аудиокабели см стр 9 Не действует дистанционное управление пресивером Auro Проверьте активирована ли функция Digital Link пресивера Auro См раздел Включение Digital Link стр 11 Направляйте пульт дистанционного управления прямо на переднюю панель Auro Убедитесь что передняя панель Auro не загорожена Проверьте батарейки пульта дистанционного управления Проверьте включены ли пульт дистанционного управления в режим DVD AUDIO или в один из его вариантов DISC или RADIO см сто 14 Возможно данный диск не поддерживает такую функцию Прочтите буклет к данному диску Телевизор не обменивается данными с Auro Убедитесь что аппарат правильно подключен к телевизору кабелем L Link см стр 8 1елевизор должен иметь программное обеспечение версии 6 x или выше Проверьте это через меню Main Information Equipment своего телевизора сли Ваш телевизор имеет программное обеспечение старой версии свяжи тесь с представительством Loewe для обновления программы 52
Узнайте, как устранить распространенные неисправности техники. Подробные инструкции по проверке подключения, настройке и исправлению ошибок.
![Loewe Auro 8116 DT A00 [52/56] Устранение неисправностей](/views2/1413098/page52/bg34.png)